近日,南方科技大学物理系和量子科学与工程研究院教授范靖云课题组与中国科学技术大学的研究人员合作在量子非定域性的研究中取得重要进展,揭示了量子网络中多方非定域性的特征结构,并完成了初步的实验验证。相关成果以“Test of Genuine Multipartite Nonlocality”为题发表在学术期刊《物理评论快报》上。

量子非定域性是量子物理区别于经典物理最重要的性质之一,是实现量子密钥分发、量子随机数、分布式量子计算和分布式量子精密测量等现代量子信息处理任务的基础。关于量子非定域性和定域实在性的讨论由来已久,比较公认的观点起源于物理学家Einstein、Podolsky和Rosen在1935年提出的EPR佯谬。上世纪六十年代,英国物理学家Bell在对两体纠缠态的研究中发现,基于非定域性与定域实在性的两体关联函数具有明显的可区分性,这就是著名的Bell不等式。在历经约50年锲而不舍的努力后,多个国际研究小组终于在2015-2018年间通过系列实验完成了无漏洞的Bell不等式检验,从而彻底解决了关于量子非定域与定域实在性的争议,其中三位研究者:Alain Aspect、John F. Clauser 和 Anton?Zeilinger于近日获得了2022年诺贝尔物理学奖。
近年来,天地一体化量子保密通信网络已渐具雏形,以量子计算机、量子传感器、量子中继器、量子通信终端等为代表的量子网络终端技术的发展也屡获突破,诸如盲量子计算、多方量子计算、量子会议、量子私密共享等各种新型量子网络任务层出不穷。有趣的是,虽然量子网络中的多方非定域性是实现各种复杂量子信息处理任务的关键资源,但是人们对量子多方非定域性仍然缺乏比较清晰的认识。因此,厘清量子网络中的量子非定域性不仅是一个重要的基础物理问题,也是进一步充分发挥量子网络信息传输和处理优势亟需解决的关键问题。
在早期对三方乃至多方非定域性问题的研究中,一个比较朴素的方式是基于两体的非定域关联去构建多方的关联。这一方式在某些方面取得了一定的成功,比如建立多方的量子纠缠。但是,这种基于局域性的处理方式显然不能等同于全局性的方式。针对这一困境,近年来,研究人员基于网络膨胀技术,在Bell研究模型的启发下,开展了在局域操作和共享随机性(Local Operations and Shared Randomness,简称LOSR)框架下的关于量子网络多方非定域性的研究,发展了关于量子多方非定域关联函数的判据,揭示了量子两方、三方、多方非定域关联的可区分性。比如,即使存在无限的量子两方非定域资源,也无法在LOSR框架下构造真正全局性的量子三方非定域性;以此类推,即使存在无限的量子三方非定域资源,也无法构造真正全局性的量子四方非定域性。但是目前的研究方法依赖于直观的图形构造,这对少体量子多方问题的理解与处理提供了直观的图像,但对研究正在成长的复杂量子网络具有很大的局限性。

图 1:三方网络的矩阵表示

图2:制备四(三)光子GHZ态的实验装置
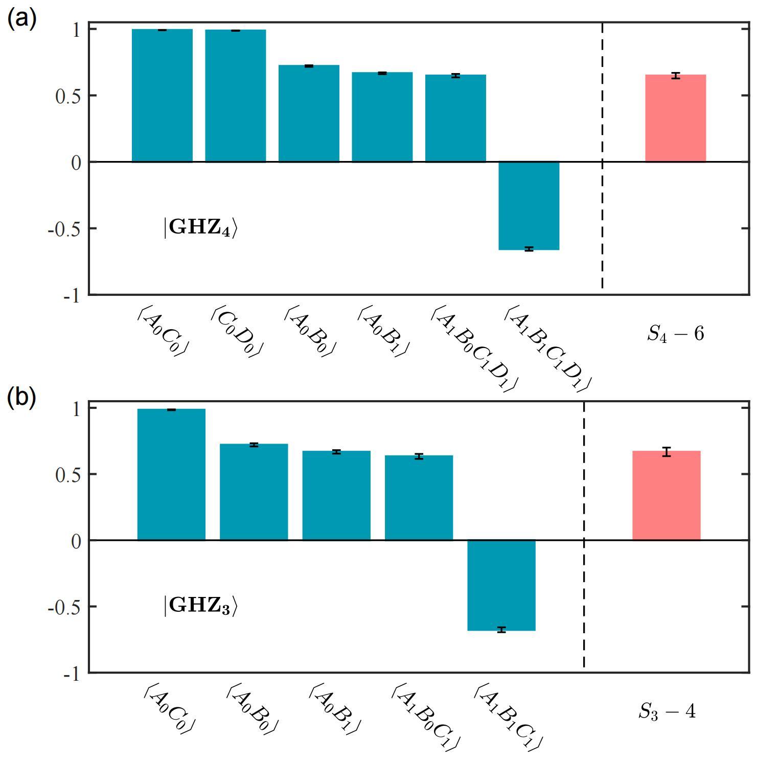
南方科技大学和中国科学技术大学的研究人员首次提出了解析理论,构造出量子网络中真正全局性的多方非定域性检验的判据,即广义贝尔不等式。研究人员通过对于四光子、三光子Greenberger-Horne-Zeiling(GHZ)态和广义GHZ态的实验研究,观测到了对于该不等式的破坏,因此确立了四方非定域关联、三方非定域关联和两方非定域关联的明确区分,即高阶非定域关联不可能由任意低阶关联函数构建。这一工作进一步拓展了量子非定域性研究和量子膨胀理论,为发展新型量子信息处理任务奠定了重要基础。中国科学技术大学的另外两个研究组在同期开展的实验研究中也获得了类似的结果。

图 3:四方和三方GHZ态的关联函数和不等式破坏值的实验结果。

图4:不同保真度的四方和三方GHZ态SN的实验结果。
该论文的共同第一作者为南科大物理系研究助理教授毛亚丽以及量子科学与工程研究院助理研究员李正达,通讯作者为范靖云和中国科学技术大学教授郁司夏。南科大为论文第一单位。
本研究得到了广东省珠江领军人才计划、深圳市鹏城学者、广东省重点领域研发计划、广东省珠江创新创业团队、国家自然科学基金委、广东省量子科学与工程重点实验室、深圳市科技创新委员会、南科大深圳量子科学与工程研究院和南科大物理系高水平光学平台的大力资助。
?
论文链接:?https://journals.aps.org/prl/pdf/10.1103/PhysRevLett.129.150401?