近日,南方科技大学力学与航空航天工程系暨物理系讲席教授、中国科学院院士夏克青课题组与北京大学工学院谢金翰博士合作在湍流研究领域取得新进展,相关成果以“Circulation in quasi-2D turbulence: Experimental observation of the area rule and bifractality”为题发表在《物理评论快报》(Physical Review Letters)上。

湍流作为经典物理学最后的未解难题,其复杂性在于它是一种强非线性运动。湍流研究中的一个主要问题是寻找其具有普适性的小尺度统计特性,流场中两点的速度增量是最??疾斓难芯慷韵螅挥捎谕牧骶哂屑湫?,速度增量具有多分形特性(强非线性),这很难去分析和理解,这驱使学者们寻找其他观测量,以期实现湍流的更简单描述。最近,学者们在高雷诺数三维湍流数值模拟中发现环量呈现双分形特性且满足面积律(即只要积分路径边长均位于惯性区,环量统计特性仅由积分面积决定)。尽管量子湍流和经典湍流在旋涡分布上存在显著差异,最近的三维量子湍流数值模拟也观察到环量的双分形特性。对于二维情况,量子湍流和经典湍流也具有相似性,如能谱凝聚等。
经典二维湍流理论可以用来描述许多大尺度流动现象,如地球物理流体中的准地转流动。二维湍流和三维湍流在守恒量、能量传递方向和基于速度增量的间歇性程度等方面的显著不同也阻碍了湍流统一理论的建立。因此,在二维和三维湍流中找到具有相同(或相似)特性的物理量是具有重要意义的,这将有助于对湍流进行更普适的描述。不管在二维湍流还是三维湍流中,双分形特性和面积律均尚未在实验中观测到。由于存在两个惯性区,二维湍流中的环量特性研究也更为有趣。
基于以上问题,作者们精心设计了电磁驱动的准二维湍流实验。在装有氢氧化钠溶液的容器底部铺设由永磁铁组成的磁铁阵列,磁铁间距即该系统外力的作用尺度lf。通过铜电极给薄层氢氧化钠溶液通电,在溶液中会产生空间周期分布的洛伦兹力,流体受到搅动形成旋涡晶格,如图1a,旋涡相互作用随时间演化最终形成准二维湍流,如图1b?;诟呖占浞直媛实乃俣瘸?,可以获得不同尺度下的环量特性。

图1:瞬时涡量?。海╝)流场初始阶段的旋涡晶格;(b)流场稳定阶段的准二维湍流
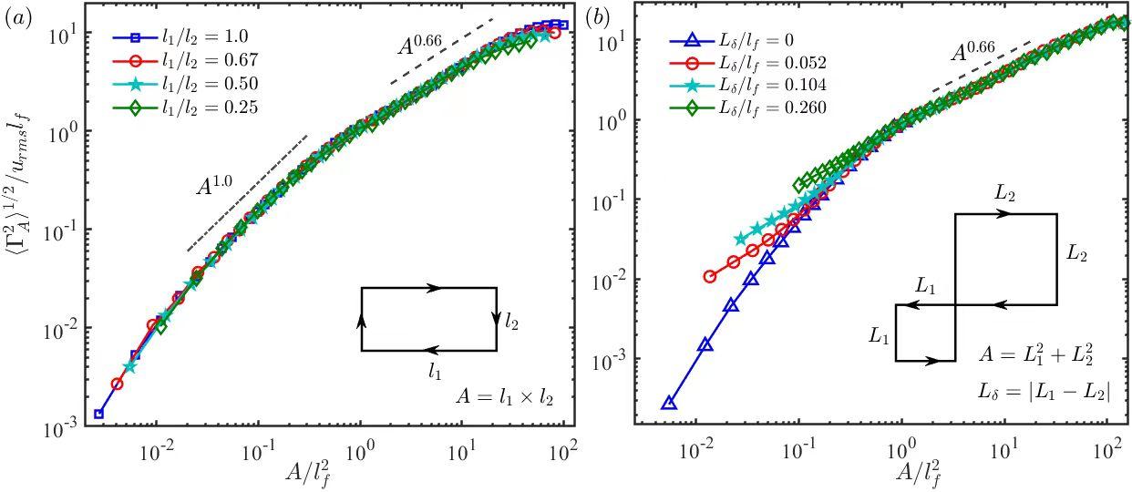
他们发现,对于简单积分路径(即矩形,图2a),环量面积律在两个惯性区间都适用,如图2a;但是对于更复杂的积分路径(如‘8’字形, 图2b),面积律仅在能量逆级串惯性区中适用,而在拟涡能正级串惯性区失效,如图2b。进一步,考察了环量结构函数和速度结构函数的高阶标度行为。他们同时发现,环量在拟涡能正级串惯性区无间歇性,在能量逆级串惯性区呈现双分形特性(如图3),而速度结构函数在能量惯性区表现出近似多分形特性。作者们进一步通过量纲分析发现,本实验中环量双分形特性拟合得到的特征参数与理论推导非常吻合。

图2. 不同积分路径形状时的二阶环量结构函数随长度尺度的变化:(a)简单积分路径;(b)复杂积分路径。
在二维湍流的能量逆级串惯性区和三维湍流的能量正级串惯性区都发现了环量的双分形特性,这表明湍流环量的这种特性可能与能量传递的方向无关。因此,本研究结果可推广至能量正向和逆向传递均存在的地球物理流动中。此外,从分析和理解角度,双分形环量比多重分形速度更为简单,因此该特性的发现可能有助于降低基于环量形式的Navier-Stokes方程的复杂性。总结来说,在不同类型的湍流(经典三维湍流、三维量子湍流和经典准二维湍流,如图3)中难以捉摸的间歇性效应可以用更简单地双分形环量来描述。因此,相比于多分形速度增量,双分形环量是更适合用来建立湍流统一理论的观测量。

图3. 在不同类型湍流中观察到的环量双分形特性
论文第一作者为夏克青课题组博士后朱航宇,通信作者为夏克青,北京大学工学院的谢金翰博士为合作作者。南科大是论文第一单位。该成果得到国家自然科学基金和中国博士后基金的大力支持。
?