近日,南科大量子科学与工程研究院助理研究员Georg Engelhardt和麻省理工学院教授Jianshu Cao在微腔中的能量传递研究方面取得新的进展。研究团队在理论上通过考虑在热动力学极限下的无序多重Tavis-Cummings 模型,解释了微腔中能量快速传输的原因。相关研究成果于5月24日以“Polariton Localization and Dispersion Properties of Disordered Quantum Emitters in Multimode Microcavities”为题发表在国际知名学术期刊Phys. Rev. Lett. 上。

微腔由两块距离靠近的平行镜面构成,腔中光子与腔内发光物质发生强耦合作用,进而形成所谓的极化激元。极化激元是一种兼具光和物质(例如:分子)特性的准粒子,具有非常特别的光学性质。最近实验研究表明,极化激元所携带的部分分子激发能可以超快速地传输,微腔中的能量传输速度甚至可以比正常情况下快一百万倍。因此,极化激元技术具有提高光伏器件和光探测器效率的巨大潜力。近年来尽管科学家们在实验极化激元领域取得了重要进展,但是理论上对极化激元的理解仍然不够充分。由于典型的微腔包含大量具有随机物理特性的分子,因此理论描述非常具有挑战性。大多数先前的理论方法过于简化了光场的描述,导致了如极化激元的传输速度可以超光速等物理上不合理的预测。

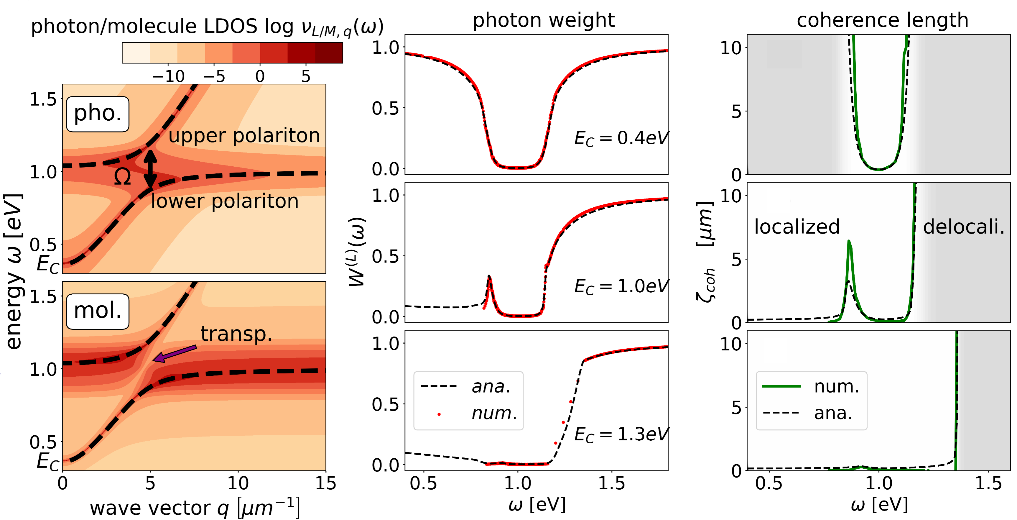
图1:(左)在波矢表示中的极化激元的局部态密度,从中可推断出其色散特性。(中)极化激元中光子贡献的权重随能量变化的关系。(右)极化子相干长度随能量变化的关系,从中可以推断出其传输特性。
在本研究中,研究团队在极化激元的理论描述中迈出了关键一步,他们在没有过于简化光场的情况下,找到了极化激元动力学的精确解,解释了在什么条件下极化激元可以快速传输并传输得很远。进一步揭示了极化激元中的光子贡献如何帮助克服能量的局域性。一般的,在没有微腔的情况下,当系统中的无序度增加时,能量更多地被困在分子中;相反,开发新的理论研究表明,微腔中更多的无序度甚至可以帮助加速能量流动。因此,这些详细的理论发现将有助于指导未来新型极化激元技术的设计。
在该研究成果中,南科大量子科学与工程研究院助理研究员Georg Engelhardt为论文第一作者,麻省理工学院的教授Jianshu Cao为通讯作者。南科大是论文第一单位。该研究工作得到了广东省科技厅等部门的大力支持。
?
论文链接:?https://journals.aps.org/prl/abstract/10.1103/PhysRevLett.130.213602?