近日,南科大物理系讲席教授何佳清团队提出了一种基于交错层结构设计并实现高柔性和高热电性能的Bi2Te3基单晶薄膜材料与器件。实验上制备的厘米级Bi2Te3基单晶热电薄膜具有与块体材料相媲美的功率因子(p型: 4.2 mW m-1?K-2; n型: 4.6 mW m-1?K-2),且弯曲1000次时电导率保有率达到91%,并基于此研制出具有超高输出功率密度(60K温差时达到321 W m-2)的柔性热电器件,相关成果以“Staggered-layer-boosted flexible Bi2Te3?films with high thermoelectric performance”为题在线发表于Nature Nanotechnology上。

柔性电子在物联网技术及可穿戴设备领域应用广泛,被誉为未来革命性的电子技术,它的迅猛发展对轻便、可弯折、可自维持及高可靠的柔性电源提出迫切需求。柔性热电技术可以利用生物体与周围环境的温差产生电能,为柔性电子设备的自供电提供有效的解决方案。Bi-Te合金是目前公认性能最佳的近室温热电材料,然而,其固有的刚性和脆性限制了自身作为柔性能源转换材料的应用,因此,发展高性能Bi2Te3基柔性热电薄膜和器件是拓展热电技术新规?;τ玫墓丶?。

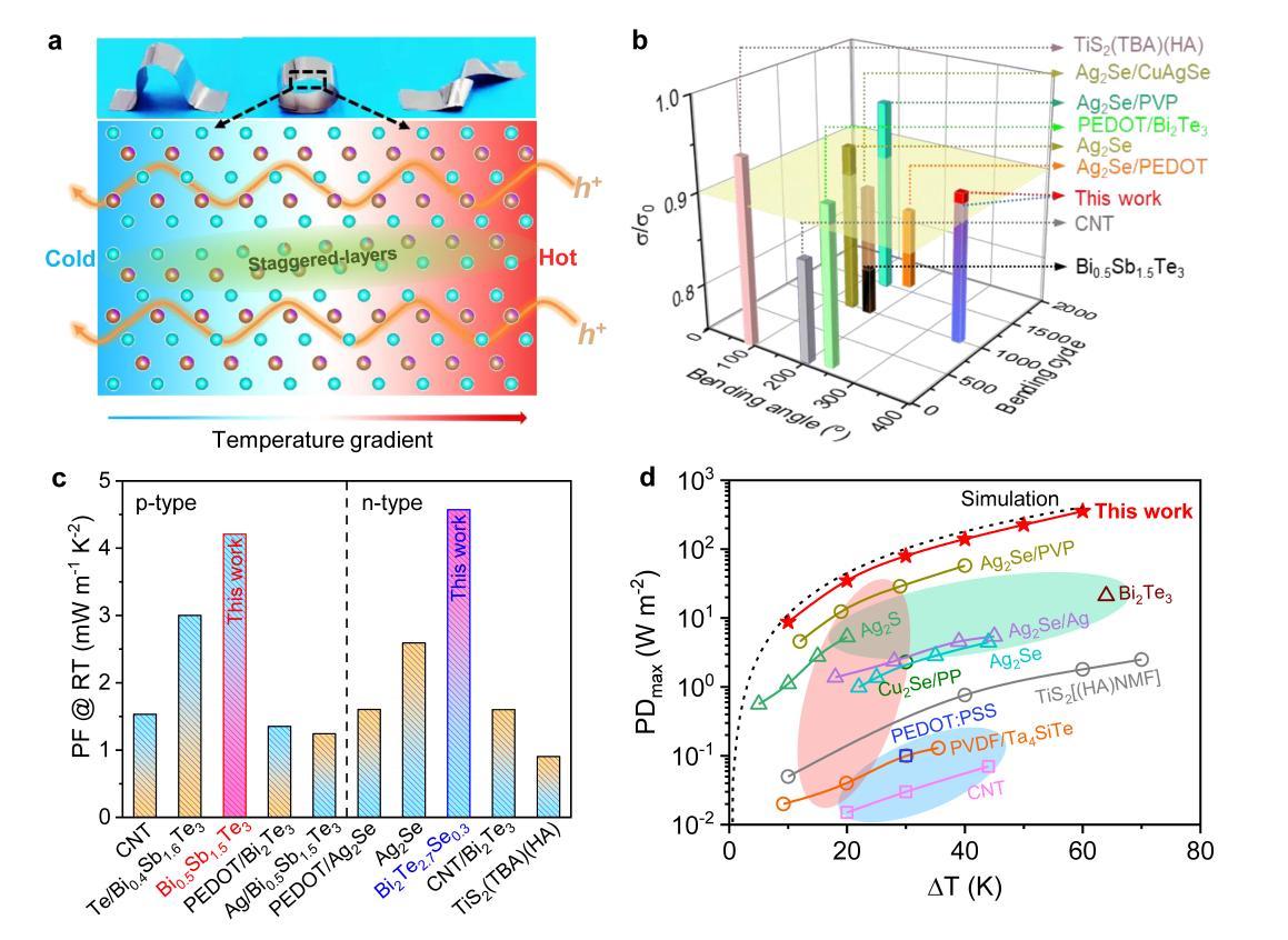
图1 (a)?弯曲、卷起和扭曲状态下的Bi2Te3基薄膜图片(上)和柔性Bi0.5Sb1.5Te3薄膜中交错层结构示意图(下);(b)?柔性热电薄膜在不同弯曲角度和弯曲次数下的电导率变化对比;(c)?本研究p型和n型热电薄膜的室温功率因子处于领先水平;(d)?本研究薄膜热电器件输出性能处于领先水平。

图2 (a) 柔性p型Bi0.5Sb1.5Te3薄膜在不同弯曲半径和弯曲次数下的电导率保有率;(b)?p型薄膜弯曲状态的原位SEM图;(c)?p型单晶样品的原子分辨率HAADF-STEM图及相应的应变图;(d)?p型薄膜样品的HAADF-STEM图及相应的应变图;(e)?p型薄膜中交错层结构模型图(上)和对应的模拟STEM图(下);(f)?p型薄膜在形变时的TEM图(红框显示原子尺度观测微区);(g)?p型薄膜在形变过程中交错层状结构演化的代表性HRTEM图;(h)?g图中标识区域的原子位移图。
有鉴于此,何佳清团队通过自上而下的方法,从单晶Bi2Te3基块体材料中剥离出厘米尺寸的薄膜,薄膜兼具高功率因子和高柔性,在4mm弯曲直径下反复弯折超过1000次,薄膜电导率仅下降9%,弯曲性能优于报道的Bi2Te3基热电薄膜。借助先进的双球差透射电镜和原位力学透射电镜技术,研究团队通过高分辨透射电镜图像原位观察到薄膜制备过程中引入的独特交错层结构,该交错层结构来自于范德华间隙附近的Te和Bi/Sb的原子交换。通过交错层结构及应变的原位演化分析,充分证明了该结构中原子滑移对薄膜柔性的关键作用。研究团队采用第一性原理计算了缺陷的相对形成能,推演了由单晶完美结构向交错层结构的原子交换过程。尽管有缺陷形成,薄膜仍继承了单晶的功率因子,p型和n型薄膜的室温功率因子分别达到4.2和4.6 mW m-1?K-2,为目前报道的柔性热电薄膜最高值。研究人员通过能带结构计算得到载流子有效质量变化,交错层结构的引入使费米能级移向导带,该结构可作为施主杂质,提供电子并抑制空穴,从而导致p型薄膜的载流子浓度较单晶下降,而n型薄膜的载流子浓度较单晶增加,这种变化确保了薄膜和单晶基本一致的电导率。最终,Bi2Te3基柔性薄膜的ZT值达到p型为0.9 和n型为1.1。将p型和n型Bi2Te3基薄膜组装成柔性热电发电器件,在温差为60K时产生的电压和最大功率密度分别为111mV 和321W m-2。这一成果在该领域中达到了世界领先水平,极大推动了柔性热电转换技术的应用,为半导体材料结构-性能关系提出了新的科学见解,也为可穿戴电子产品的发展提供了有前途的解决方案,可望推动热电器件走向消费者产品领域。

图3 (a)?Bi2Te3单晶原子结构受压应力(红色箭头)及剪切力(黑色箭头)示意图;(b)?Bi2Te3剥离过程中受应力作用时交错层结构形成过程;(c)?Bi2Te3剥离过程中详细的原子重排过程;(d)?300K温度时的GSFE曲线;(e)?0K和300K时最大表面能与应变对应关系。
南科大为论文第一单位。何佳清团队博士后逯瑶(现为东莞理工学院副研究员)、博士生周毅、研究助理教授王戊和研究助理教授胡明远为论文共同第一作者,何佳清为论文唯一通讯作者,合作者包括武汉理工大学李国栋教授课题组。
本研究获得国家自然科学基金、广东省自然科学基金、广东省领军人才计划、深圳市科技创新委员会基金等项目的大力资助。
论文链接:https://www.nature.com/articles/s41565-023-01457-5