近日,南方科技大学物理系师生在实验中实现了由不定因果序驱动的量子冰箱。相关成果以“Experimental realization of a quantum refrigerator driven by indefinite causal orders”为题发表在《物理评论快报》(Physical Review Letters)上。

因果关系是我们理解世界的基本观念,也是时间概念的基础。它在我们的认知中发挥着至关重要的作用,使我们能够确定某些事件的原因,对未来作出科学的预测,并选择适当的行为来实现目标。然而,当我们走进量子世界,事件的因果顺序有可能变得不那么确定。例如,可能存在一种不定因果顺序,对应着“A导致B”和“B导致A”的量子叠加。

不定因果序示意(J. Schm?le)
物理学家Giulia Rubino及其同事曾通过实验证实了量子世界中的因果顺序确实是可以变得不确定的。以一种名为量子开关(Quantum switch)的构建,也就是用单个光子状态去控制逻辑门的先后作用顺序,来实现门操作因果序的量子叠加。最后,在输出端测量“因果目击者(Causal Witness)”来判断这个过程是否是既定因果。

门操作因果序的量子叠加示意图(来源于Giulia Rubino的实验文章)
某个目标物体经历的热力学过程也可以看作是一系列门的概率作用,我们可以用类似的办法实现对热力学过程的不定因果序排列。根据热力学第二定律,热只会自发地从高温物体传向低温物体,两个相同温度的物体放在一起是不会发生热量转移的?;谎灾绻颐墙勘晡锾逵肽骋幌嗤露热仍捶⑸冉哟コ莆录嗀,与另一个相同温度热源发生热接触称为事件B,A和B发生的前后顺序并不会影响目标物体最终的温度,目标物体在这个过程中的温度始终保持不变。在经典世界中,这是非常平庸的结论。
然而,令人惊讶的是,物理学家Felce和Vedral发现当我们对A和B这两个热力学过程进行不定因果序的排列时,通过对“因果目击者”的质询,目标物体的最终温度可能升高或者降低。这看似违反了热力学第二定律,实际上,这个现象类似于“麦克斯韦妖(Maxwell demon)”悖论,并没有违反热力学第二定律这一最基本的物理规律,而“因果目击者”就相当于那只不断观测及不断记忆的调皮小妖精。在不定因果序的热接触中,熵的变化来源于我们对“因果目击者”,也就是小妖精的观测。如果将小妖精纳入系统中,系统的熵并不会自发减少。在这一过程中,我们能看到量子的热交换作用,通过这一神奇的现象,可以实现基于不定因果序原理的量子冰箱。

在样品中,研究人员利用左上角的氟元素作为工作比特,中间的碳元素作为控制比特,下方的两个氟元素作为热库??刂票忍氐淖钪展鄄庾刺龆巳攘鞯淖呦?,利用这个性质,研究人员实现了基于不定因果序的量子冰箱
研究人员在核磁共振量子模拟器上进行实验,首次在 4个核自旋量子比特系统上演示了不定因果序过程中的神奇热力学性质。研究人员将四个原子核中的碳原子核作为“因果目击者”,一个氟原子核作为冰箱的工作物质,另外的两个氟原子核作为与工作物质温度相同的热源。通过将“因果目击者”制备到不同状态,从而控制工作物质与两个热源接触的顺序。当“因果目击者”处于|0>或|1>时,工作物质以固定的顺序先后与热源1(事件A)和热源2(事件B)接触;当“因果目击者”处于|0>和|1>的量子叠加状态时,工作物质就将以不定因果序与热源接触,也就是量子版本的冰箱。最后对“因果目击者”进行测量,当其处于|0>-|1>时,工作物质将从热源吸热,也就是可以达到“冰箱”的制冷效果;反之,当其处于|0>+|1>时,工作物质将向热源放热?;痪浠八?,即使工作物质和两个热源始终处于相同的温度,在不定因果序热接触的情况下,仍然可以发生热传递效应。
接下来,利用不定因果序的这个性质,研究人员设计了一个如下图所示的四冲程量子冰箱:(1) 工作物质与两个低温热源发生不定因果序的热接触过程,之后对“因果目击者”(小妖精)进行测量?!耙蚬炕髡摺倍圆饬拷峁信卸?。当结果为|0>-|1>时,热力学循环继续;反之则持续过程(1),直到测量结果为|0>-|1>;(2) 工作物质与高温热源接触并放热;(3)工作物质与低温热源接触并放热; (4) 对“因果目击者”和工作物质进行初始化。研究人员重点考察了这个过程中的能量传递、冰箱实验的成功概率、以及工作效率等性质。

基于不定因果序热接触的四冲程量子冰箱
在对基于不定因果序的冰箱进行实验研究时,研究人员发现该冰箱的工作效率受限于过程(1)中对“因果目击者”测量的成功概率,且总会被限制在一个较小的值(约0.08)。为了提高冰箱的工作效率,研究人员提出了一种基于密度矩阵指数化(Density matrix exponentiation)的框架。这个方法将冰箱的效率提高了3倍,并且在实验上进行了验证。这项工作成功演示了一种基于不定因果序的非经典热交换作用,为今后量子冰箱的更多研究铺平了道路。

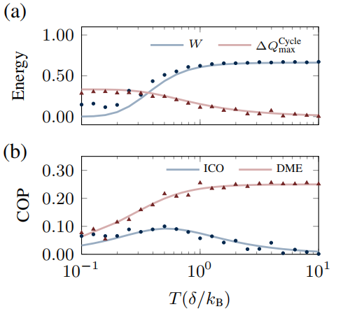
(a)单次循环中,消耗的功以及发生的热量转移随温度变化的曲线(b)不同温度下,原本的不定因果序冰箱(ICO)和基于基于密度矩阵指数化框架的冰箱(DME)效率比较图。可以看到,“量子冰箱”的效率得到了显著的提高
南方科技大学物理系研究助理教授聂新芳和物理系2017级本科生朱炫然(目前在香港科技大学攻读博士学位)为该论文的共同第一作者。朱炫然大二时就加入南科大鲁大为课题组进行量子计算研究,主要研究方向为量子热机和拓扑物态量子模拟,该工作即是其在大三期间完成的科研项目。朱炫然主导完成了理论数值模拟、实验方案设计、文章撰写等,对该项目的顺利完成具有核心贡献。鲁大为课题组一直以来都非常注重对本科生的科研训练,针对学生特点进行“因材施教”,鼓励和支持学生探索最感兴趣的科研方向。
该工作的合作者包括之江实验室研究员董莹、量子科学与工程研究院研究员李俊和副研究员辛涛等。董莹、辛涛和鲁大为为共同通讯作者,南方科技大学为论文第一完成单位。该研究得到了科技部、国家自然科学基金委、广东省科技厅、深圳市科创委、南方科技大学和之江实验室等的大力支持。
论文链接:https://journals.aps.org/prl/abstract/10.1103/PhysRevLett.129.100603